六年级解方程练习题3
姓名 成绩




一、简单的类型
x- x= 2x + = 70%x+ 20%x = 3.6 x×=20× 25% + 10x =
x -15%x =68 x+x=121 5x-3×= x÷=12 6x+5 =13.4
x + x = 4 4x-3 ×9 = 29 x+x= 4x-6×=2
÷x = x = × x÷ =×
二、式子一边有很多运算的方程
对于这类方程我们应该先根据运算律,把能够计算出来的先计算出来
三、有括号的方程
对于有括号的题,我们一般来说先去掉括号,然后按上面的方法进行计算
四、运用乘法分配律的方程
先运用乘法分配律,然后去括号。
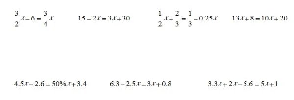
五、左右两边都有x的方程
根据等式的性质,把方程一边的x消掉,然后根据上面讲过的步骤进行
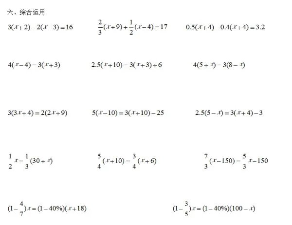
六、综合运用
100x+200=400
解:100x=400-200
x=200÷100
x=2
50x+100=200
解: 50x=200-100
x=100÷50
x=2
10x+20=40
解:10x=40-20
x=20÷10
x=2
100x+200=400
解:100x=400-200
x=200÷100
x=2
50x+100=200
解: 50x=200-100
x=100÷50
x=2
10x+20=40
解:10x=40-20
x=20÷10
x=2
(版权所有,禁止效仿)
