复数是形如 a + b i的数。式中a,b 为 实数,i是一个满足i^2 =-1的数,因为任何实数的平方不等于-1,所以i不是实数,而是实数以外的新的数。
在复数a+bi中,a称为复数的实部,b称为复数的虚部,i称为虚数单位。当虚部等于零时,这个复数就是实数;当虚部不等于零时,这个复数称为虚数,虚数的实部如果等于零,则称为纯虚数。由上可知,复数集包含了实数集,因而是实数集的扩张。
复数有多种表示形式,常用形式 z = a + b i叫做代数式。此外有下列形式。
①几何形式。复数 z = a + b i 用直角坐标平面上点 Z ( a , b )表示。这种形式使复数的问题可以借助图形来研究。也可反过来用复数的理论解决一些几何问题。
②向量形式。复数 z = a + b i用一个以原点 O 为起点,点 Z ( a , b )为终点的向量 O Z 表示。这种形式使复数的加、减法运算得到恰当的几何解释。
③三角形式。复数 z= a + b i化为三角形式
z =| z |(cos θ +isin θ ) 式中| z |= ,叫做复数的模(或绝对值); θ 是以 x 轴为始边;向量 O Z 为终边的角,叫做复数的辐角。这种形式便于作复数的乘、除、乘方、开方运算。
④指数形式。将复数的三角形式 z =| z |(cos θ +isin θ )中的cos θ +isin θ 换为 e i q ,复数就表为指数形式
z =| z | e i q , 复数的乘、除、乘方、开方可以按照幂的运算法则进行。
复数集不同于实数集的几个特点是:开方运算永远可行;一元 n 次复系数方程总有 n 个根(重根按重数计);复数不能建立大小顺序。

扩展资料:
根据定义,若

(a,b∈R),则

=a-bi(a,b∈R)。共轭复数所对应的点关于实轴对称。两个复数:x+yi与x-yi称为共轭复数,它们的实部相等,虚部互为相反数。
在复平面上,表示两个共轭复数的点关于X轴对称,而这一点正是"共轭"一词的来源----两头牛平行地拉一部犁,它们的肩膀上要共架一个横梁,这横梁就叫做"轭"。如果用z表示x+yi,那么在z字上面加个"一"就表示x-yi,或相反。
1 加法法则
复数的加法法则:设z1=a+bi,z2=c+di是任意两个复数。两者和的实部是原来两个复数实部的和,它的虚部是原来两个虚部的和。两个复数的和依然是复数。
即

2 乘法法则
复数的乘法法则:把两个复数相乘,类似两个多项式相乘,结果中i2= -1,把实部与虚部分别合并。两个复数的积仍然是一个复数。
即

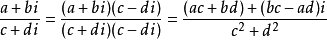
3 除法法则
复数除法定义:满足

的复数

叫复数a+bi除以复数c+di的商。
运算方法:将分子和分母同时乘以分母的共轭复数,再用乘法法则运算,
即

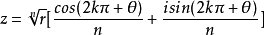
4 开方法则
若zn=r(cosθ+isinθ),则

(k=0,1,2,3…n-1)
我们把数学分析中基本的实变初等函数推广到复变初等函数,使得定义的各种复变初等函数,当z变为实变数x(y=0)时与相应的实变初等函数相同。
注意根据这些定义,在z为任意复变数时,
①.哪些相应的实变初等函数的性质被保留下来
②.哪些相应的实变初等函数的性质不再成立
③.出现了哪些相应的实变初等函数所没有的新的性质。
复数运算法则有:加减法、乘除法。两个复数的和依然是复数,它的实部是原来两个复数实部的和,它的虚部是原来两个虚部的和。复数的加法满足交换律和结合律。此外,复数作为幂和对数的底数、指数、真数时,其运算规则可由欧拉公式e^iθ=cos θ+i sin θ(弧度制)推导而得。
加法法则
复数的加法按照以下规定的法则进行:设z1=a+bi,z2=c+di是任意两个复数,
则它们的和是 (a+bi)+(c+di)=(a+c)+(b+d)i。
两个复数的和依然是复数,它的实部是原来两个复数实部的和,它的虚部是原来两个虚部的和。
复数的加法满足交换律和结合律,
即对任意复数z1,z2,z3,有: z1+z2=z2+z1;(z1+z2)+z3=z1+(z2+z3)。
减法法则
复数的减法按照以下规定的法则进行:设z1=a+bi,z2=c+di是任意两个复数,
则它们的差是 (a+bi)-(c+di)=(a-c)+(b-d)i。
两个复数的差依然是复数,它的实部是原来两个复数实部的差,它的虚部是原来两个虚部的差。
参考资料:
一、复数的概念:把形如z=a+bi(a,b均为实数)的数称为复数,a称为实数的实部,b称为实数的虚部,i称为实数的虚数单位。
二、复数的运算:
1、加法法则:
设z1=a+bi,z2=c+di是任意两个复数。两者和的实部是原来两个复数实部的和,它的虚部是原来两个虚部的和。两个复数的和依然是复数。
2、乘法法则:
把两个复数相乘,类似两个多项式相乘,结果中i2= -1,把实部与虚部分别合并。两个复数的积仍然是一个复数。
3、除法法则:将分子和分母同时乘以分母的共轭复数,再用乘法法则运算,
三、复数的性质:
1、共轭复数所对应的点关于实轴对称。
2、两个复数:x+yi与x-yi称为共轭复数,它们的实部相等,虚部互为相反数。
3、在复平面上,表示两个共轭复数的点关于X轴对称,

扩展资料我们把形如z=a+bi(a,b均为实数)的数称为复数,其中a称为实部,b称为虚部,i称为虚数单位。
①当虚部等于零时,复数可以视为实数;
②当z的虚部不等于零时,实部等于零时,常称z为纯虚数。
参考资料:
我们把形如z=a+bi(a,b均为实数)的数称为复数,其中a称为实部,b称为虚部,i称为虚数单位。当虚部等于零时,这个复数可以视为实数;当z的虚部不等于零时,实部等于零时,常称z为纯虚数。复数域是实数域的代数闭包,也即任何复系数多项式在复数域中总有根。 复数是由意大利米兰学者卡当在十六世纪首次引入,经过达朗贝尔、棣莫弗、欧拉、高斯等人的工作,此概念逐渐为数学家所接受。
复数运算法则有:加减法、乘除法。两个复数的和依然是复数,它的实部是原来两个复数实部的和,它的虚部是原来两个虚部的和。复数的加法满足交换律和结合律。此外,复数作为幂和对数的底数、指数、真数时,其运算规则可由欧拉公式e^iθ=cos θ+i sin θ(弧度制)推导而得。

扩展资料最早有关复数方根的文献出于公元1世纪希腊数学家海伦,他考虑的是平顶金字塔不可能问题。
16世纪意大利米兰学者卡尔达诺(Jerome Cardan,1501—1576)在1545年发表的《重要的艺术》一书中,
公布了一元三次方程的一般解法,被后人称之为“卡当公式”。
数系中发现一颗新星——虚数,于是引起了数学界的一片困惑,很多大数学家都不承认虚数。德国数学家莱布尼茨(1646—1716)在1702年说:“虚数是神灵遁迹的精微而奇异的隐避所,它大概是存在和虚妄两界中的两栖物”。然而,真理性的东西一定可以经得住时间和空间的考验,最终占有自己的一席之地。
参考资料:
复数是形如 a + b i的数。式中a,b 为 实数,i是一个满足i^2 =-1的数,因为任何实数的平方不等于-1,所以i不是实数,而是实数以外的新的数。
在复数a+bi中,a称为复数的实部,b称为复数的虚部,i称为虚数单位。当虚部等于零时,这个复数就是实数;当虚部不等于零时,这个复数称为虚数,虚数的实部如果等于零,则称为纯虚数。由上可知,复数集包含了实数集,因而是实数集的扩张。
复数有多种表示形式,常用形式 z = a + b i叫做代数式。此外有下列形式。
①几何形式。复数 z = a + b i 用直角坐标平面上点 Z ( a , b )表示。这种形式使复数的问题可以借助图形来研究。也可反过来用复数的理论解决一些几何问题。
②向量形式。复数 z = a + b i用一个以原点 O 为起点,点 Z ( a , b )为终点的向量 O Z 表示。这种形式使复数的加、减法运算得到恰当的几何解释。
③三角形式。复数 z= a + b i化为三角形式
z =| z |(cos θ +isin θ ) 式中| z |= ,叫做复数的模(或绝对值); θ 是以 x 轴为始边;向量 O Z 为终边的角,叫做复数的辐角。这种形式便于作复数的乘、除、乘方、开方运算。
④指数形式。将复数的三角形式 z =| z |(cos θ +isin θ )中的cos θ +isin θ 换为 e i q ,复数就表为指数形式
z =| z | e i q , 复数的乘、除、乘方、开方可以按照幂的运算法则进行。
复数集不同于实数集的几个特点是:开方运算永远可行;一元 n 次复系数方程总有 n 个根(重根按重数计);复数不能建立大小顺序。
复数是形如 a + b i的数。式中a,b 为 实数,i是一个满足i^2 =-1的数,因为任何实数的平方不等于-1,所以i不是实数,而是实数以外的新的数。
在复数a+bi中,a称为复数的实部,b称为复数的虚部,i称为虚数单位。当虚部等于零时,这个复数就是实数;当虚部不等于零时,这个复数称为虚数,虚数的实部如果等于零,则称为纯虚数。由上可知,复数集包含了实数集,因而是实数集的扩张。
复数有多种表示形式,常用形式 z = a + b i叫做代数式。此外有下列形式。
①几何形式。复数 z = a + b i 用直角坐标平面上点 Z ( a , b )表示。这种形式使复数的问题可以借助图形来研究。也可反过来用复数的理论解决一些几何问题。
②向量形式。复数 z = a + b i用一个以原点 O 为起点,点 Z ( a , b )为终点的向量 O Z 表示。这种形式使复数的加、减法运算得到恰当的几何解释。
③三角形式。复数 z= a + b i化为三角形式
z =| z |(cos θ +isin θ ) 式中| z |= ,叫做复数的模(或绝对值); θ 是以 x 轴为始边;向量 O Z 为终边的角,叫做复数的辐角。这种形式便于作复数的乘、除、乘方、开方运算。
④指数形式。将复数的三角形式 z =| z |(cos θ +isin θ )中的cos θ +isin θ 换为 e i q ,复数就表为指数形式
z =| z | e i q , 复数的乘、除、乘方、开方可以按照幂的运算法则进行。
复数集不同于实数集的几个特点是:开方运算永远可行;一元 n 次复系数方程总有 n 个根(重根按重数计);复数不能建立大小顺序。
