扇形是平面图形,只有面积和周长,没有体积。所以扇形没有体积计算公式。
1、扇形弧长公式
(1)角度制计算:

, l是弧长,n是扇形圆心角,π是圆周率,R是扇形半径。
(2)弧度制计算:

,l是弧长,|α|是弧l所对的圆心角的弧度数的绝对值,R是扇形半径。
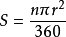
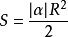
2、扇形面积公式
R是扇形半径,n是弧所对圆心角度数,π是圆周率,L是扇形对应的弧长。
也可以用扇形所在圆的面积除以360再乘以扇形圆心角的角度n,如下:

;

(L为弧长,R为扇形半径)
推导过程:S=πR²×L/2πR=LR/2

(L=│α│·R)

扩展资料:
扇形的周长的长度等于弧长和两个半径之和:

扇形是圆的一部分,由两个半径和和一段弧围成,在较小的区域被称为小扇形,较大的区域被称为大扇形。在右图中,θ是扇形的角弧度,r是圆的半径,L是小扇形的弧长。
圆弧为180°的扇形称为半圆。其他圆弧角的扇形有时给予其特别的名字,其中包括象限角(90°)、六分角(60°)以及八分角(45°),它们分别是整圆的1/4、1/6、1/8。
组成部分:
1、圆上A、B两点之间的的部分叫做“圆弧”简称“弧”,读作“圆弧AB”或“弧AB”。
2、以圆心为中心点的角叫做“圆心角”。
3、有一种统计图就是“扇形统计图"。
参考资料来源:
扇形体积常用公式是

扇形是与圆形有关的一种重要图形,其面积与 圆心角(顶角)、圆半径相关,圆心角为n°,半径为r的扇形面积为n/360×πr²。如果其顶角采用弧度单位,则可简化为半径乘弧乘1/2( 弧长=半径×弧度)。
【扇形】
一条圆弧和经过这条圆弧两端的两条 半径所围成的图形叫扇形(半圆与直径的组合也是扇形)。它是由圆周的一部分与它所对应的 圆心角围成。《 几何原本》中这样定义扇形:由 顶点在圆心的角的两边和这两边所截一段 圆弧围成的图形。
【组成部分】
1、圆上A、B两点之间的的部分叫做“ 圆弧”简称“弧”,读作“圆弧AB”或“弧AB”。
2、以圆心为中心点的角叫做“ 圆心角”。
3、有一种 统计图就是“ 扇形统计图"。
扇形是平面图形,是二维的,只有面积和周长,没有体积。扇形的面积是s=1/2ar²,弧长L=ar(a为角的弧度数)。要是立体的,求体积就是底面积*高。
S=1/2LR 公式中L为扇形的弧长,R为扇形的半径,s是扇形的面积
S扇 = L R / 2 (L为扇形弧长,R为半径)
或
π(R^2)*N/360(即扇形的度数)
