4月2日晚,瑞幸咖啡造假事件被官方自爆了,结果导致公司股价大跌80%,并且连带着神州租车都大跌了54%,投资者们纷纷大怒。这是个令很多网友感到惋惜的结果,毕竟按照某UP主的说法,作为“民族之光”的瑞幸一直都是拿资本主义的钱大肆培养国人喝咖啡的习惯!

在过去多年里,商业历史上曾出现过不少造假案例,但消费者没有损失甚至还获利的案例却少见,就比如说瑞辛的折扣券,四舍五入基本等于白嫖。那么瑞辛为什么要“造假”呢,是否真的如官方所言是高管个别人诚信问题?
对于这个问题,我想并非是个人可以背锅的,因为瑞幸的商业模式决定了它今天的结果。不可否认瑞幸的数据确实做起来了,2019年底直营门店为4507家,交易用户数4000万,但用户留存一直是个难题,因为消费者们爱的就是它的便宜、折扣券,相信很少有人原价消费。

所以瑞辛如果要继续讲故事,就必须要让交易数据显得更完美一些,不然故事就讲不圆了,而这次数据造假,其实是瑞幸商业模式一步一步推演至今的必然产物。那么瑞幸为什么要自爆数据造假呢?这个问题不仅困扰到了你,同时也困扰到了我。
瑞幸股价炸了之后,把美国的资本家们炸上了天,各大媒体也都纷纷报道,但最骚的是瑞幸咖啡官微居然还点赞了,这种迷惑而又不要脸的行为你能看懂吗,反正我是看不懂。有专家们挺身而出为我们答疑,对瑞幸的主打“认罪”做了一番分析。

对于瑞幸主动“认罪”的行为,有人说是为了避免破产清算,但有专家却认为瑞幸的自爆更多其实是无奈之举,因为两个多月前,美国知名做空机构浑水发布了一份对“瑞幸咖啡”长达89页的做空报告,这份报告就是引发瑞幸自爆的导火索。
从浑水发布做空报告到瑞幸自爆造假,在这两个月的时间里,瑞幸迎来了成立以来最艰难的时刻,由于股价下跌,一些律师事务所开始启动对瑞幸的集体诉讼程序,其次是财报披露,由于2月底开始需要陆续披露财报,但瑞幸却迟迟未披露,其三是是独立董事变更,最近瑞幸新增了两名独立董事。

所以综合以上,瑞幸自爆造假其实就是“纸包不住火”了。瑞幸这种行为真如网上所说,是值得推崇的吗?甚至在自爆造假的第二天,瑞幸官微和董事长、CMO都公开说要元气满满,一件造假的事情居然被堂而皇之的渲染成了光荣的事情,简直不可思议。

当年惜字如金的朱总理曾在2001年相继给上海、北京国家会计学院题写校训,上面写着“不做假账”,朱总理后来回忆说我们永远不可能完全做到不做假账这一点,但是我们决心一定要按照这个标准去做。

如今20年过去了,中国的企业们又做得怎么样呢?如果欺骗美国投资者就可以被称作“国货之光”,未来中国企业在世界上的信用也将会大打折扣,最后我只想说四个字——无信不立!
如果你家里出了个骗子跑出去骗人,你会觉得这件事很光荣吗?所以这种扭曲的价值观,并不值得推崇!
大家好,俺是颗集CPA、CMA、律师、保荐代表人于一身的投行飞豆。
瑞幸咖啡为什么要在现在这个时间点承认造假,最简单的理解就是纸包不住火。
瑞幸咖啡承认造假与此前浑水的报告有关吗?
是的,没错。
相信大家都应该知道,2020年2月1日的时候知名做空机构浑水(Muddy Waters Research)在其Twitter发布了一份长达89页的瑞幸咖啡(luckin coffee)研究报告。

该报告称相关人员在追踪了瑞幸咖啡981家门店后,获取了来自1000位用户的25843张发票凭证及11260小时的门店流量视频,认为瑞幸咖啡“在2019年第三季度和2019年第四季度,每店每日商品销售数量分别夸大了至少69%和88%”。
而相关的数据与此次瑞幸咖啡自曝在2019年2-4季度收入虚增22亿元不谋而合。
浑水的做空报告是导致瑞幸承认财务造假的直接原因吗?
不,只是间接原因。
你以为随便一个报告就能让瑞幸认账?也不看看什么叫资本市场的“亲儿子”。2020年2月3日,也就是两天后,瑞幸马上在美国证券交易委员会(SEC)的官网发布名为“Luckin Coffee对匿名报告进行回应“的公告,严厉地指责浑水的研究报告毫无价值,是误导性和虚假的,公司否认报告中的所有内容。同时指证浑水的报告尽调的方法是有缺陷的,所提供的证据也是不足的,内容都是没有根据的猜测和恶意解释。并且称浑水对瑞幸的业务模式和运营完全不懂。

虽然浑水的报告不是瑞幸承认财务造假的主要原因,但是的的确确是一根导火索。
那么瑞幸承认财务造假的真实原因是什么呢?
四个字,退市风险。
其实在二月份的时候还没什么事情,无非就是有人跳出来指责瑞幸虚报业绩呗,瑞幸又不会缺胳膊少腿,怂回去就可以了。但是这现在到了四月,就是一个很特殊的时间节点了,那就是上市公司公布年度审计报告。
而受到浑水的做空报告影响,出现了两个瑞幸此前没料想到的情况。其一,审计事务所安永(EY)拒绝出具审计报告,其二,美国证监会要求瑞幸成立独立的调查委会会自查。无论是延期递交年审报告,或是上市公司恶意欺诈,都将导致瑞幸出现被退市的风险。
被退市!?这开什么玩笑,没有上市公司的壳,瑞幸怎么发债,发股票,怎么圈钱?

既然纸包不住火,不如提前承认从轻处罚
根据美国法律,提供不实财务报告和故意进行证券欺诈的犯罪,要判处10至25年的监禁,个人和公司的罚金最高达500万美元和2500万美元。同时审计机构也可能会涉嫌犯罪,可能要面临严格的举证责任。瑞幸公司、相关董监高、审计机构等中介机构,还可能面临巨额的集体诉讼。
而美国SEC相关的法律又有规定,尽管不当行为已经发生了,但自省自改的有效进行可被认为合规机制仍在有效运行,而有望减轻或免除处罚。
所以现在瑞幸弃车保帅也是无奈之举,索性就把一揽子的事情都推到公司COO兼董事刘剑身上,其他人一并撇清关系,然后可能再私下给刘剑一笔安置费就行了。出个几千万,总好过没了瑞幸咖啡(NASDAQ:LK)这棵摇钱树要好得多吧。
微信公众号:飞豆哥的财会讲堂(用最高效的方式分享财会干货)
最近,也就是4月2日,美股上市公司瑞幸咖啡宣布,在审计后的2019年年报发现财务问题,因为董事会成立了特别调查委员会。委员会发现,公司2019年二季度到四季度直接,伪造了22亿元人民币的交易额,相关成本及费用也为虚增。
这事件无疑给所有人抛出一个大瓜。而且属于‘自爆式‘。回顾一下事件,当天股价暴跌80%左右,随时面临罚款退市风险。

而且事情似乎早有端倪。早在两个月之前,很多中概股闻风丧胆的做空机构——
浑水(Muddy Waters Research),曾经公开一份匿名的做空报告。报告显示,其
指控瑞幸咖啡涉嫌财务造假,门店销量、商品售价、广告费用、其他产品的净收入都被夸大,2019年第三季度瑞幸的门店营业利润被夸大3.97亿元。
但是我们来回顾一下这家企业上市路径,从2017年成立至今,争议一直伴随着这家公司。它被质疑烧钱补贴、商业模式难以为继。但却短短两年时间里,募集超过10亿美元资金,开出了超过4500家咖啡门店,刷新了中概股最快上市纪录。
就是这样一家饱含争议的明星咖啡店,据说‘唯一’星巴克在华对手,现在自曝家丑。
所以,为何瑞幸咖啡要承认造假:
回顾以上来看,2个月前那份 浑水的 做空报告,没有将瑞幸彻底击倒,但却是引发瑞幸“自爆”的导火索。
从浑水发布做空报告,到瑞幸自曝造假,这中间相差了正好两个月。在这两个月时间里,发生了三件极其重要的事情。
一是集体诉讼。因为股价下跌,投资者蒙受损失,一些律师事务所开始启动针对瑞幸的集体诉讼程序。
二是遇上财报披露季。2月底开始,中概股公司纷纷开始披露2019年四季度及2019全年的财报报告。瑞幸自爆前,大部分中概股已经完成财报披露,但瑞幸迟迟未披露。
三是独立董事变更。4月2日,瑞幸成立特别委员会,新增两名独立董事,其中一个来自行业里有名的调查审计师FTI,另一个来自世界级名牌诉讼律所Kirkland & Ellis。
因为瑞幸之前被做空,于是有做空基金将它告上法庭,按照美国证监会要求,瑞幸要成立特别委员会进行自查,于是查出了22亿元的惊天造假大案。

“美国是通过集团诉讼制,让公众监察上市公司。做空报告出来后,美国证监会就会要求公司做公告回应,或者要启动调查。而且,此做空报告发布时机,正值财报披露季前。
以上,我们可以看出,瑞幸咖啡是被迫的,纸包不住火。因为年报审计出了问题。

而且如果不能按时提交审计报告,会直接导致退市,如果披露了问题,有可能妥善解决的话或许还能避免出现最坏的结果。
所以,不是瑞幸不想想办法,补窟窿也好,做准备也好,是被迫的,只能承认。
你好,感谢邀请,今日美股盘前,瑞幸公告称,公司的独立特别委员会经调查发现,COO及其部分下属员工从2019年二季度起从事了某些不当行为,伪造交易价值大约22亿元人民币。
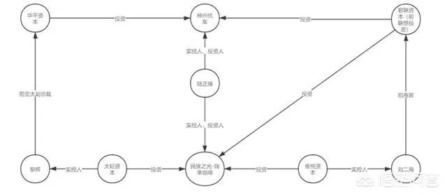
注:据瑞幸官网介绍,公司首席运营官(COO)为刘剑,2005年获得中央财经大学劳动与社会保障专业学士学位。2008年至2015年,先后担任神州租车车辆管理中心副主任和收益管理负责人;2015年至2018年担任神州优车收益管理负责人;2018年5月起担任瑞幸咖啡COO,2019年2月起任董事。受此影响,瑞幸咖啡美股开盘暴跌近80%。

牵一发而动全身,瑞信咖啡造假股价暴跌,不少机构很受伤!
根据机构提交的数据,截至2019年底,瑞幸咖啡受到机构投资者的青睐,去年第四季度,机构增持达到2.89亿股,新进机构持有股份1.45亿股。
截止去年底,瑞幸咖啡持仓最大的前十大机构股东是资本研究全球投资者(Capital Research Global Investors),持有6032万股,其次是孤松资本、Alkeon资本公司、美国银行、Melvin资本管理公司、瑞银、Darsana资本、瑞信、Janus Henderson和Sylebra资本。
股价就这么直接打骨折了,牛圈用户自然炸开锅,甚至还有用户友情提示注意隔壁跟谁学。
有股民调侃道:
上帝:天黑请闭眼,预言家请睁眼,预言家(瑞幸)请问你想验明谁的身份
预言家(瑞幸):指了指跟谁学上帝:他是骗子。


还有懵懵的股民不敢面对现实,执着地问:这是不是瑞幸新的宣传手段!

爆仓的股民弱弱地问,能不能给咖啡券补偿……


不过也有股民选择勇敢逆流而上,啥都不说就是干。

关于瑞幸咖啡是否还有翻身的可能,也有专业人士给出了见解:别问,问就是不行。
这也说明瑞幸咖啡已经没有翻身的可能性,因为在美股的监管法规之下,上市公司一旦被发现造假,投资者就会发起诉讼,让上市公司和大股东进行赔偿。
在两个月以前,著名空头浑水公司就发布研究报告。这份89页的报告是由匿名人士发给浑水的,不过浑水认为其真实可信(credible)。
报告的主要观点包括瑞幸虚构了2019年三季度和四季度的单店平均每天售出商品数,虚构的比例分别达到69%和88%。需要先说明的是,瑞幸的四季报还没有发布,所以这里对比的是瑞幸此前对四季度的预期数据。
报告作者还发现瑞幸的平均商品售价虚增了12.3%。两者合计使得三季度收入虚增了3.97亿元。
此外,报告作者还通过追踪第三方数据发现瑞幸夸大了其三季度营销支出,幅度达到158%。在A股作死一般没啥问题,过去是60万上限,现在提高了一些成本,也不贵,几千万搞得定。但是在美股作死,完全有可能倾家荡产。
小蓝杯彻底凉凉了。
小蓝杯凉了,隔壁老王星巴克却笑了,今日高开,现涨5%。

从箱底翻出一张神图,啥都不说了,重点笔记都在图上了:

附:瑞幸公告详情2020年4月2日,瑞幸咖啡(Luckin Coffee Inc.)今天宣布,公司董事会(「董事会」)已成立。专门委员会(「特别委员会」),负责监督在截至2019年12月31日的财年的合并财务报表审计期间提请董事会注意的某些问题的内部调查(「内部调查」)。
特别委员会由董事会的三名独立董事肖恩先生,朴天若先生和魏源宗先生组成,邵先生担任董事长。特别委员会已就内部调查保留了独立顾问,包括独立法律顾问和法务会计师。特别委员会已任命Kirkland&Ellis为独立外部顾问。 Kirkland&Ellis在FTI Consulting的协助下担任独立的法务会计专家。内部调查处于初步阶段。
特别委员会今天提请董事会注意以下信息:从2019年第二季度开始,公司首席运营官兼董事刘建先生以及向他报告的几名员工从事了不当行为,包括捏造某些交易。特别委员会建议采取某些临时补救措施,包括中止刘健先生和涉嫌不当行为的此类雇员,以及中止与已确定的虚假交易涉及方的合同和交易。董事会接受了特别委员会的建议,并针对目前确定的参与伪造交易的个人和当事方实施了这些建议。本公司将对负责不当行为的个人采取一切适当的行动,包括法律行动。
内部调查此初步阶段确定的信息表明,从2019年第二季度到2019年第四季度与虚假交易相关的总销售金额约为人民币22亿元。在此期间,某些成本和费用也因虚假交易而大幅膨胀。
上述数字尚未经过特别委员会,其顾问或公司的独立审计师的独立验证,并且可能会随着内部调查的进行而改变。
公司正在评估不当行为对其财务报表的整体财务影响。因此,投资者不应再依赖公司之前的财务报表和截至2019年9月30日的九个月以及自2019年4月1日至2019年9月30日的两个季度的收益发布,包括先前的净收入指导来自2019年第四季度的产品以及与这些合并财务报表有关的其他通讯。
调查正在进行中,公司将继续评估其先前发布的财务状况和其他可能的调整。
这样一家明星企业,为何要自曝“家丑”?
2个月前,以做空中概股闻名的大空头“浑水研究-MuddyWaters Research”发布了一份对“瑞幸咖啡”长达89页的做空报告。现在看来,那份神秘的做空报告,没有将瑞幸彻底击倒,但却是引发瑞幸“自爆”的导火索。
从浑水发布做空报告,到瑞幸自曝造假,这中间相差了正好两个月。在这两个月时间里,发生了三件极其重要的事情。
一是集体诉讼。因为股价下跌,投资者蒙受损失,一些律师事务所开始启动针对瑞幸的集体诉讼程序。
二是遇上财报披露季。2月底开始,中概股公司纷纷开始披露2019年四季度及2019全年的财报报告。瑞幸自爆前,大部分中概股已经完成财报披露,但瑞幸迟迟未披露。
三是独立董事变更。4月2日,瑞幸成立特别委员会,新增两名独立董事,其中一个来自行业里有名的调查审计师FTI,另一个来自世界级名牌诉讼律所Kirkland & Ellis。
我们梳理一下整个事件的时间线:
· 2月1日凌晨(周五),浑水发布做空报告,瑞幸股价盘中最大跌去26.5%。
· 2月3日晚(周一),瑞幸在SEC发布公开回应,坚决否认所有指控。
· 2月4日开始,瑞幸股价逐日回升,2月10日已经恢复到被做空前的水平。
· 2月5日,美国部分律师事务所开始启动针对瑞幸的集体诉讼。
· 2月10日开始,瑞幸连续发布15条“超过5%披露”的重要公告,涉及股东股权事宜。
· 3月27日,瑞幸宣布任命两名新的独立董事,刘二海卸任审计委员会成员。
· 4月2日,瑞幸成立“特别委员会”,启动内部调查,“自爆”公司存在22亿元的财务造假,瑞幸股价一夜跌去75%。
瑞幸“自爆”,是遭遇做空后的连锁反应。因为瑞幸之前被做空,于是有做空基金将它告上法庭,按照美国证监会要求,瑞幸要成立特别委员会进行自查,于是查出了22亿元的惊天造假大案。(美国是通过集团诉讼制,让公众监察上市公司。做空报告出来后,美国证监会就会要求公司做公告回应,或者要启动调查)
有意思的是,做空报告发布的时机,正值财报披露季前夕。
1,瑞幸咖啡是被迫自爆,因为年报审计出了问题,如果不能按时递交审计的年报,会直接导致退市。现在发现问题,如果妥善解决,或许还能避免最坏的结果。
2,瑞幸咖啡被集体诉讼的两个理由是misstatement和omission of material fact。针对omission,其构成要件为负有披露义务但是没有披露,可能误导投资者。这也是为什么瑞幸发现造假行为以后,第一时间披露了这一事实。这种行为也是降低其未来责任的一种法律行为。

瑞幸咖啡这次是真遇到治他的鬼了,之前神州租车的局赌赢了,同样熟悉的套路用到咖啡业上,也是同样的一班神州系班底,浑水公司是出了名揭老底的,大家可能都会问为什么瑞幸会自爆财务造假?
因为负责瑞幸财务审计的安永会计师事务所不给瑞幸在年报上签字,在美国年报不通过这是巨额罚款和坐牢的,现在除了刘二海和外资LP给坑了外,其他这个瑞幸局的神州系班底都套现“跑路”了,应该是股票质押方式套现了……
说白了,这班神州骗子就是找个替死鬼出来背锅,在SEC对19年的Q4和年报披露前又一次甩锅继续忽悠!
有不造假的吗?
两害相权取其轻。财务造假哪国都有,只是中国的事容易让西方放大而已。西方是普遍财务造假,但经过多年的磨合他们造的比较均衡不那么激进。但在概念和模糊的估值方面,他可以给你来高大上的数学模型来懵你。瑞幸这次的造假只能说财务领导水平有限还过于急功近利。真的很让真正玩金融的不好意思。道路千万万,直接更改财务数据是最LOW的。汗颜啊。他们雇佣的财务领导估计是个受过西方所谓精英的还是二流教育的蜡枪头[捂脸]个人分析。不喜勿喷。。。。[我想静静][捂脸][捂脸][我想静静][我想静静]
自成立到 IPO,瑞幸咖啡仅用了 18.5 个月,创造了国内互联网公司最快的上市记录。两个月前,瑞幸咖啡宣布进军无人零售,市值一度超百亿美元。如今,一小时之内六次熔断,从市值 50 多亿美元蒸发到只剩 10 亿美元,瑞幸却只用了一个晚上。这一切都因为造假。4 月2 日晚间,瑞幸咖啡盘前暴跌 80%,开盘报价 4.92 美元,市值只剩 12 亿美元,随后六次触发熔断,截至 4 月 3 日凌晨1 点,瑞幸咖啡股价为 6.79 美元,市值为 16.32 亿美元。

事实上,今年年初,瑞幸咖啡就曾遭遇做空机构浑水的狙击,被指捏造财务和运营数据,而瑞幸咖啡当时在回应中全盘否认。
但是,瑞幸的故事实在编不下去了。
实际上,瑞幸“自爆”丑闻,是遭遇做空后的连锁反应。因为瑞幸之前被做空,于是有做空基金将它告上法庭,按照美国证监会要求,瑞幸要成立特别委员会进行自查,于是查出了22亿元的惊天造假大案。
相关人士指出,“美国是通过集团诉讼制,让公众监察上市公司。做空报告出来后,美国证监会就会要求公司做公告回应,或者要启动调查。”
有意思的是,做空报告发布的时机,正值财报披露季前夕。
因此,此次瑞幸壮士断臂,很有可能是因为年报审计出了问题,如果不能按时递交审计的年报,会直接导致退市。现在发现问题,如果妥善解决,或许还能避免最坏的结果。”
但其实已经不能再坏了!
本次财务造假风波后,瑞幸咖啡将面临多方压力。
根据美国《1934年证券交易法》的一般性反欺诈条款,即10b-5规则,基于对上市公司披露信息之信赖买入股票的投资者,可以对股票发行人提出民事诉讼。同时,对实施业务造假的责任人,也有相应的刑事责任予以制裁。业内人士称,针对公司或个人违反证券法的行为,SEC的民事处罚标准非常严苛,重者可能会被累计处罚至数百亿美元。
此外,为了能够对投资者进行救济,美国《萨班斯-奥克斯利法案》设立了公平基金制度,可以将美国监管者对实施业务造假者进行的罚款、没收和刑事罚金纳入公平基金中,用于赔偿投资者。投资人只要能够证明曾经投资瑞幸咖啡,且因为造假行为蒙受损失,比如股价暴跌,都可以以商业欺诈的名义进行诉讼,最终的结果可能会让公司的主要造假负责人承担刑事责任或是进行巨额的财物赔偿。
实际上,瑞幸咖啡被做空后,3月25日,已有美国多家律师事务所发布声明提醒投资者,有关瑞幸咖啡的集体诉讼即将到最后提交期限。包括加州的GPM律所、 Schall律所,纽约州的Gross律所、Faruqi律所、Rosen律所和Pomerantz在内的多家律所表示,在2019年11月13日至2020年1月31日间购买过瑞幸咖啡股票的投资者如果试图追回损失,可以与律所联系,首席原告截止日期为2020年4月13日。
4月3日,针对瑞幸咖啡财务造假事件,中国证监会发布公告称,中国证监会高度关注瑞幸咖啡(Luckin Coffee Inc.)财务造假事件,对该公司财务造假行为表示强烈的谴责。
之后,一旦被贴上造假的标签,瑞幸会越来越难,步履维艰。
美国专业做空机构浑水公司出具了89页的瑞幸咖啡作假证据报告后,如何把这个慌圆下去;如果无法圆谎了,那应该把谁推出来顶罪。结局就是,37岁的刘剑,甘愿冒着这辈子不再踏足美国领土、以及任何和美国有引渡协议的国家领土的风险,为恩公顶下了这颗大雷。但是,陆正耀千算万算,可能忘记了,虽然刘剑可能完全将罪责承揽下来,但是整个董事会和高管团队只要被认定为「提供不实财务报告」提供了帮助,或者存在责任,依然会面临严惩。根据美国法律,提供不实财务报告和故意进行证券欺诈的犯罪要判处10至25年的监禁。
让我们拭目以待吧。
