某人站在自动扶梯上,经t 1 时间从一楼升到二楼,如果自动扶梯不动,人沿着扶梯从一楼走到二楼所用的时间为t 2 ,现使扶梯正常运动,人也保持原有的速度沿扶梯向上走,则人从一楼到二楼的时间为多少?

某人站在自动扶梯上,经t 1 时间从一楼升到二楼,如果自动扶梯不动,人沿着扶梯从一楼走到二楼所用的时间为t 2 ,现使扶梯正常运动,人也保持原有的速度沿扶梯向上走,则人从一楼到二楼的时间为多少?

解析:

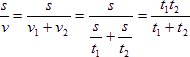
设自动扶梯的速度为v 1 ,人相对静止扶梯的速度为v 2 ,一楼到二楼的位移为s,由题意知,t 1 =

某人站在自动扶梯上,经t 1 时间从一楼升到二楼,如果自动扶梯不动,人沿着扶梯从一楼走到二楼所用的时间为t 2 ,现使扶梯正常运动,人也保持原有的速度沿扶梯向上走,则人从一楼到二楼的时间为多少?

,t 2 =

某人站在自动扶梯上,经t 1 时间从一楼升到二楼,如果自动扶梯不动,人沿着扶梯从一楼走到二楼所用的时间为t 2 ,现使扶梯正常运动,人也保持原有的速度沿扶梯向上走,则人从一楼到二楼的时间为多少?

,当扶梯动,人也走时,人相对地的速度v=v 1 +v 2 ,人从一楼到二楼的时间t=

某人站在自动扶梯上,经t 1 时间从一楼升到二楼,如果自动扶梯不动,人沿着扶梯从一楼走到二楼所用的时间为t 2 ,现使扶梯正常运动,人也保持原有的速度沿扶梯向上走,则人从一楼到二楼的时间为多少?

.